صفحة 1 من 1
ارجوكم مساعدة .احتاجه غداً عااااجل
مرسل: الاثنين 14 نوفمبر 2016 21:41
بواسطة شيماء نور الهدى

- IMG_20161114_214014.jpg (225.62 KiB) تمت المشاهدة 4638 مرةً
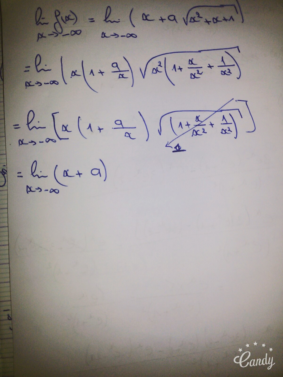
هذه محاولتي
ارجوكم مساعدة .احتاجه غداً عااااجل
مرسل: الأربعاء 16 نوفمبر 2016 16:12
بواسطة احلام مسيلة
لا اعرف