صفحة 1 من 1
مسابقة الرياضيات الجزءAمن التمرين 1
مرسل: الأربعاء 9 ديسمبر 2015 0:37
بواسطة Styl Ina Manel
بسم الله الرحمان الرحيم
التمرين 1
الجزءA
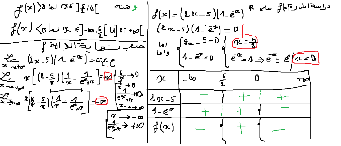
1/نختار من المستقيم( ∆ ) نقطة ولتكن (A(-2.0
نعوض xب 2-في المعادلة ادا كانت النتيجة 0 فهدا يعني ان المعادلة صحيحة
y=-x-2 ,ومنه y=-2-2و y=0ومنه فان y=0 محققة
وعليه فان المستقيم دو المعادلة y=-x-2هي معادلة المستقيم ( ∆ )صحيحة [/b
-2/- من البيان C ƒ فوق المستقيم ( ∆ )معتاه :
لما x ≥ 0فان 0≤ ( f(x)-(-x-2وعليه فان f(x) ≥- x-2
ومنه فان خاطاءة
3/محور الفواصل مقارب افقي للمنحنى C ƒ يقبل م م افقي (محور الفواصل ) معادلته y=0
من البيان فان لما x_____ ∞ + فان0=( lim ƒ (x
صحيحة
4/لدينا 0<xمعناه ان )∞ +;xE)0
ومن البيان لما )∞ +;xE)0فان ƒ مترايدة وعليه فان 0 ≤ ( ƒ '(xلما 0<x صحيحة
5/لما m<0المعادلة( m= ƒ (xتقبل حلين لما) mE)-1/2 خطا
Re: مسابقة الرياضيات الجزءBمن التمرين 1
مرسل: الأربعاء 9 ديسمبر 2015 0:46
بواسطة Styl Ina Manel
Nouveau Document Microsoft Office Word (8).docx
Re: مسابقة الرياضيات الجزءاBمن التمرين 1
مرسل: الأربعاء 9 ديسمبر 2015 0:50
بواسطة Styl Ina Manel

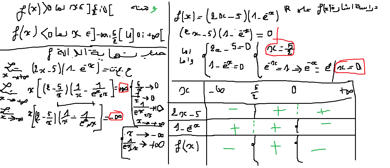
- 3.4/B
- Sans titre.png (45.01 KiB) تمت المشاهدة 18030 مرةً
Re: مسابقة الرياضيات الجزءAمن التمرين 1
مرسل: الأربعاء 9 ديسمبر 2015 0:52
بواسطة Styl Ina Manel

- 5/B
- Sans titre.png (33.05 KiB) تمت المشاهدة 18030 مرةً
مسايقة الرياضيات الجزءB
مرسل: الأربعاء 9 ديسمبر 2015 0:58
بواسطة Styl Ina Manel

- 1.2/B
- Sans titre.png (44.52 KiB) تمت المشاهدة 18031 مرةً
تابع للجزء B
مرسل: الأربعاء 9 ديسمبر 2015 16:29
بواسطة Styl Ina Manel

- Sans titre.png (33.05 KiB) تمت المشاهدة 18030 مرةً
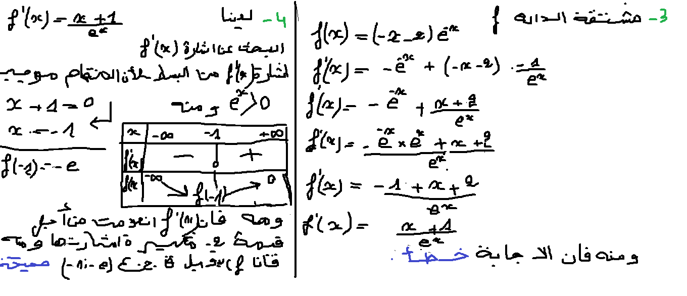
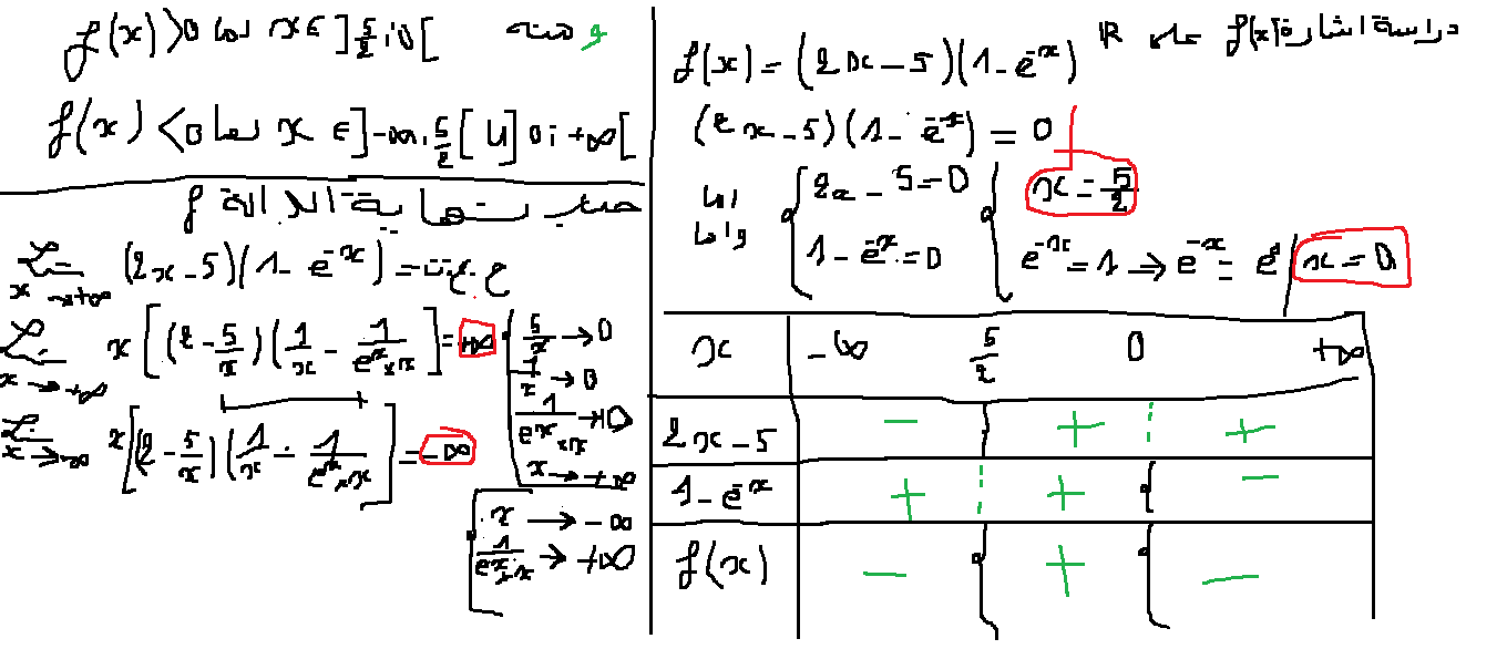
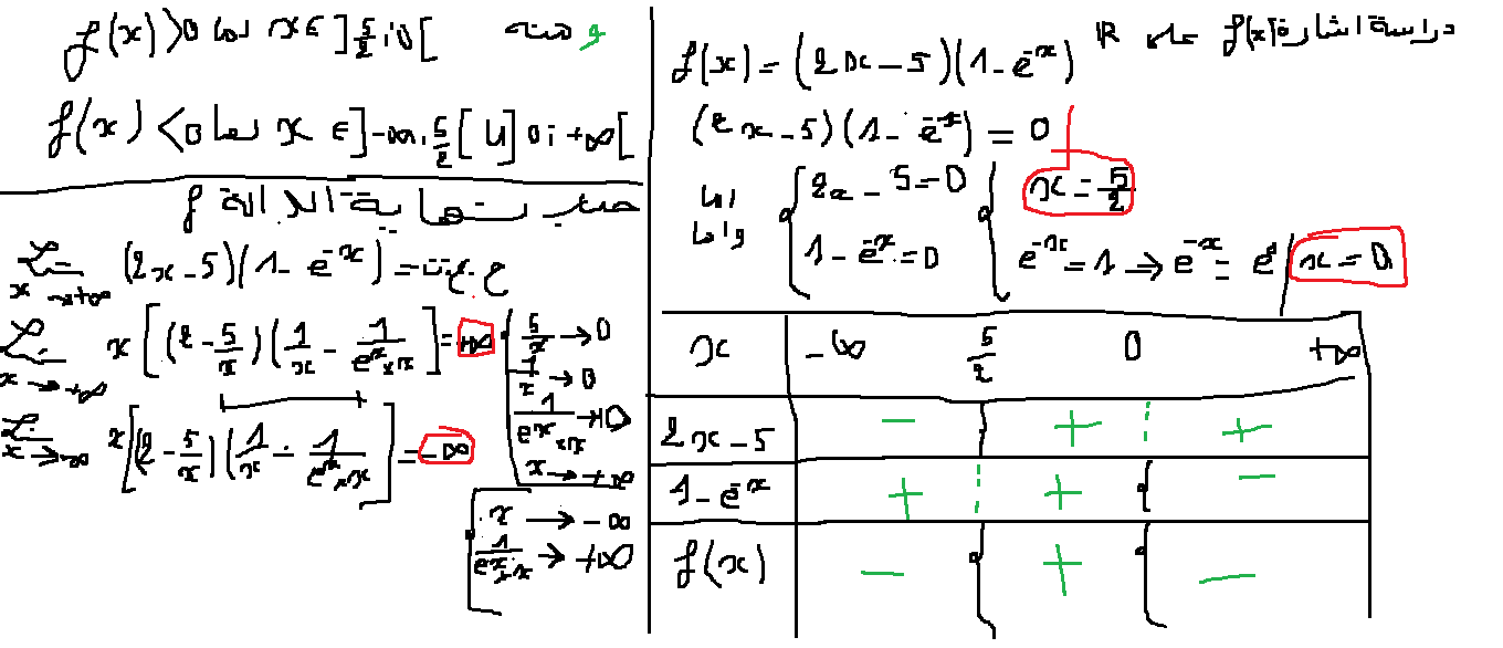
المسالة
مرسل: الأربعاء 9 ديسمبر 2015 21:25
بواسطة Styl Ina Manel

- Sans titre.png (42.18 KiB) تمت المشاهدة 18028 مرةً
المسالة
مرسل: الأربعاء 9 ديسمبر 2015 23:21
بواسطة Styl Ina Manel

- Sans titre.png (42.18 KiB) تمت المشاهدة 18028 مرةً
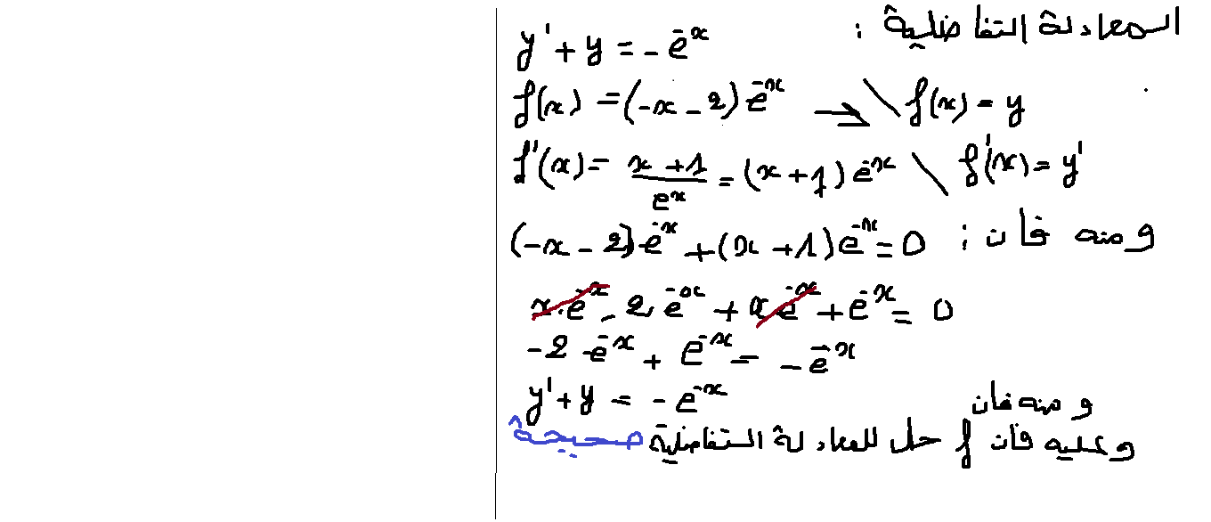
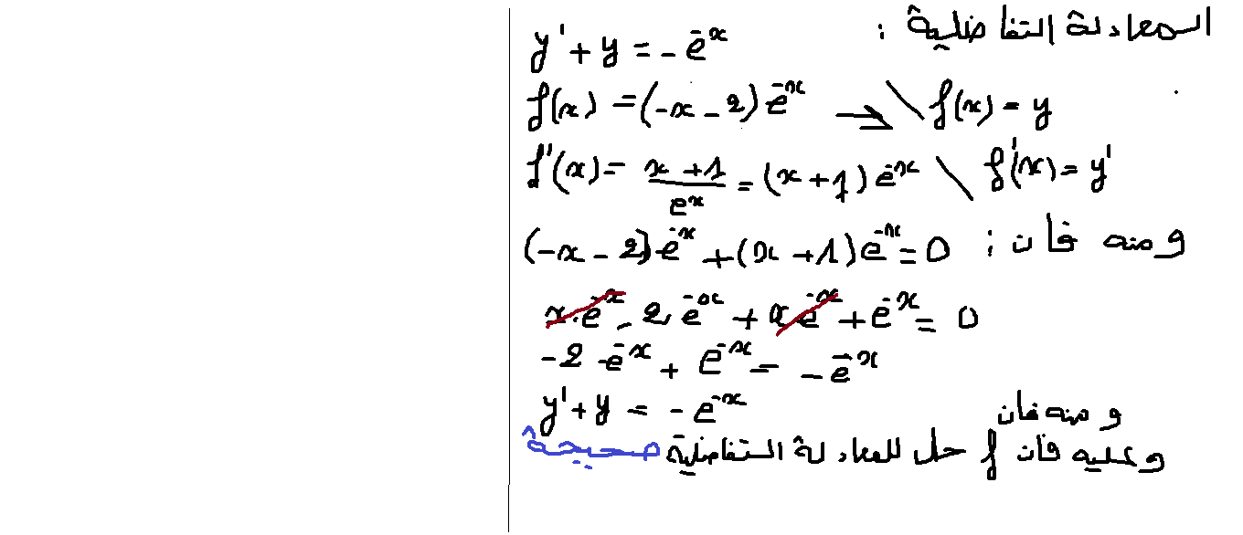
تابع للمسالة
مرسل: الأربعاء 9 ديسمبر 2015 23:36
بواسطة Styl Ina Manel

- Sans titre.png (39.62 KiB) تمت المشاهدة 18028 مرةً
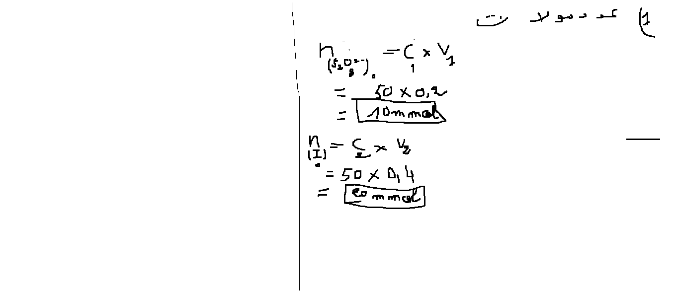
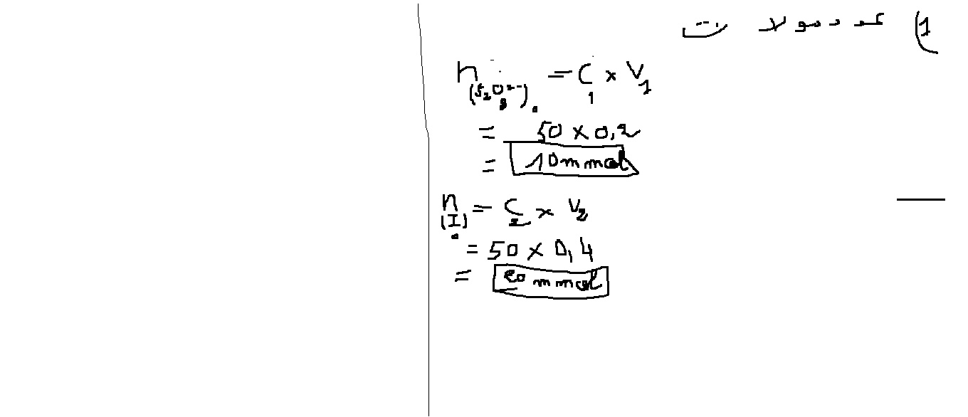
الفيزياء
مرسل: الأربعاء 9 ديسمبر 2015 23:49
بواسطة Styl Ina Manel

- Sans titre.png (21.08 KiB) تمت المشاهدة 18029 مرةً
السؤال 2 فالفيزياء
مرسل: الأربعاء 9 ديسمبر 2015 23:54
بواسطة Styl Ina Manel

- Sans titre.png (18.39 KiB) تمت المشاهدة 18028 مرةً
تابع للفيزياء
مرسل: الخميس 10 ديسمبر 2015 0:10
بواسطة Styl Ina Manel

- Sans titre.png (22.85 KiB) تمت المشاهدة 18028 مرةً
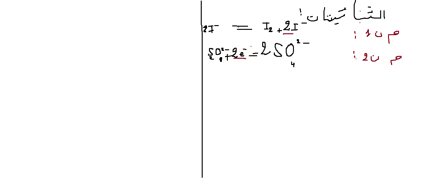
السؤال 3 فالفيزياء
مرسل: الخميس 10 ديسمبر 2015 0:21
بواسطة Styl Ina Manel

- Sans titre.png (27.46 KiB) تمت المشاهدة 18028 مرةً
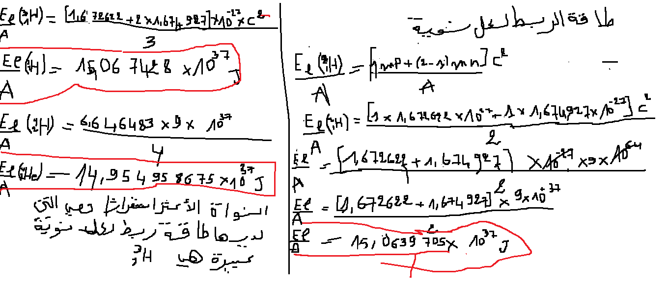
السؤال5 فالفيزياء
مرسل: الخميس 10 ديسمبر 2015 0:40
بواسطة Styl Ina Manel

- Sans titre.png (34.37 KiB) تمت المشاهدة 18028 مرةً
السؤال 3 فالفيزياء تابع لجدول التقدم
مرسل: الخميس 10 ديسمبر 2015 0:56
بواسطة Styl Ina Manel

- Sans titre.png (33.99 KiB) تمت المشاهدة 18028 مرةً
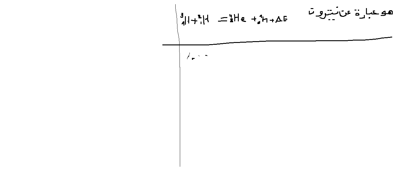
التمرين 2
مرسل: الخميس 10 ديسمبر 2015 3:01
بواسطة Styl Ina Manel
بسم الله الرحمان الرحيم
1/يتعلق زمن نصف العمر ب:
عدد الانوية المشعة الابتدائية
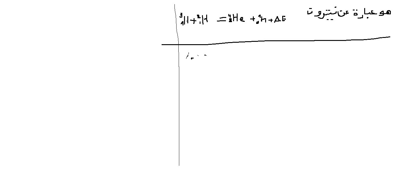
2/ا/الديتيريوم :
1بروتون و
1نيترون
الثريثيوم :
1بروتون و
2نيترون
تسمى بالنظائر

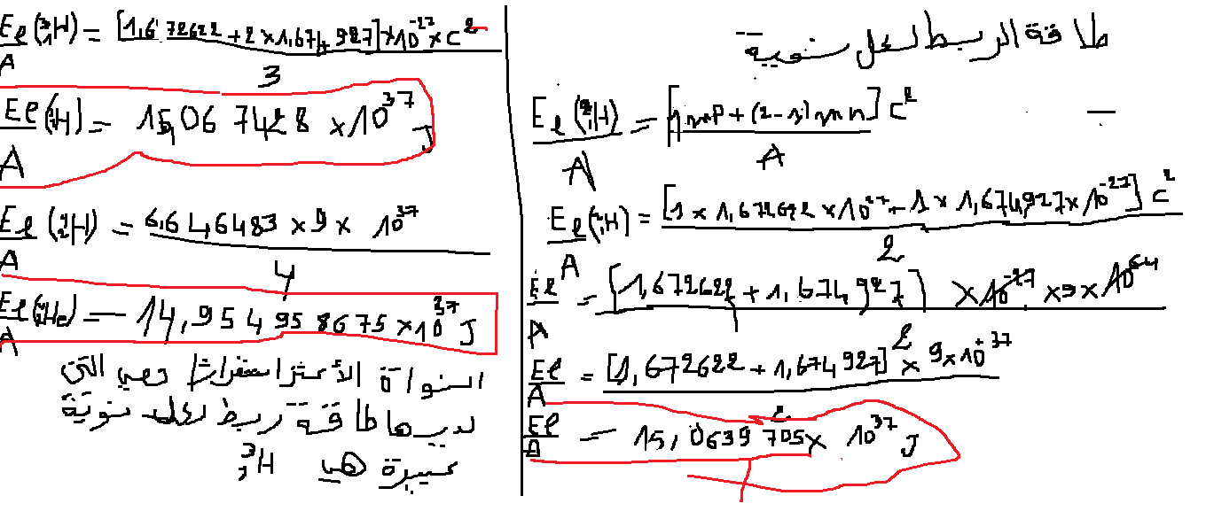
- Sans titre.png (47.64 KiB) تمت المشاهدة 18029 مرةً
نواة الترسيوم اكثر استقرارا من نواتي الهيليوم والدتيريوم
نواة الديتيروم اكثر استقرارا من نواة الهيليوم
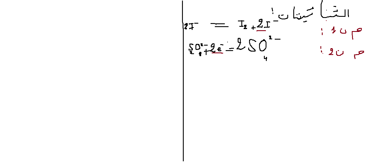
3/ا-تحديد AوZثم Y
حسب قانوني صودي
-قانون انحفاظ االعدد الشحني Zفان : Z+2=2ومنه فان Z=0
-قانون انحفاظ العدد الكتلي Aفان : A+4=5;ومنه فان A=1
ومنه فان Yهو نيترون

- Sans titre.png (16.01 KiB) تمت المشاهدة 18029 مرةً
التمرين 2
مرسل: الخميس 10 ديسمبر 2015 3:41
بواسطة Styl Ina Manel
بسم الله الرحمان الرحيم
1/يتعلق زمن نصف العمر ب:
عدد الانوية المشعة الابتدائية
2/ا/الديتيريوم :
1بروتون و
1نيترون
الثريثيوم :
1بروتون و
2نيترون
تسمى بالنظائر
Sans titre.png
نواة الترسيوم اكثر استقرارا من نواتي الهيليوم والدتيريوم
نواة الديتيروم اكثر استقرارا من نواة الهيليوم
3/ا-تحديد AوZثم Y
حسب قانوني صودي
-قانون انحفاظ االعدد الشحني Zفان : Z+2=2ومنه فان Z=0
-قانون انحفاظ العدد الكتلي Aفان : A+4=5;ومنه فان A=1
ومنه فان Yهو نيترون
Sans titre.png
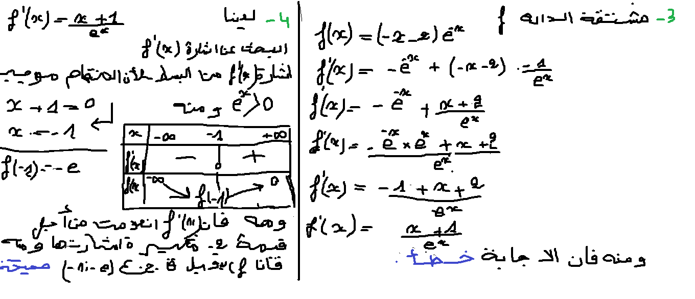
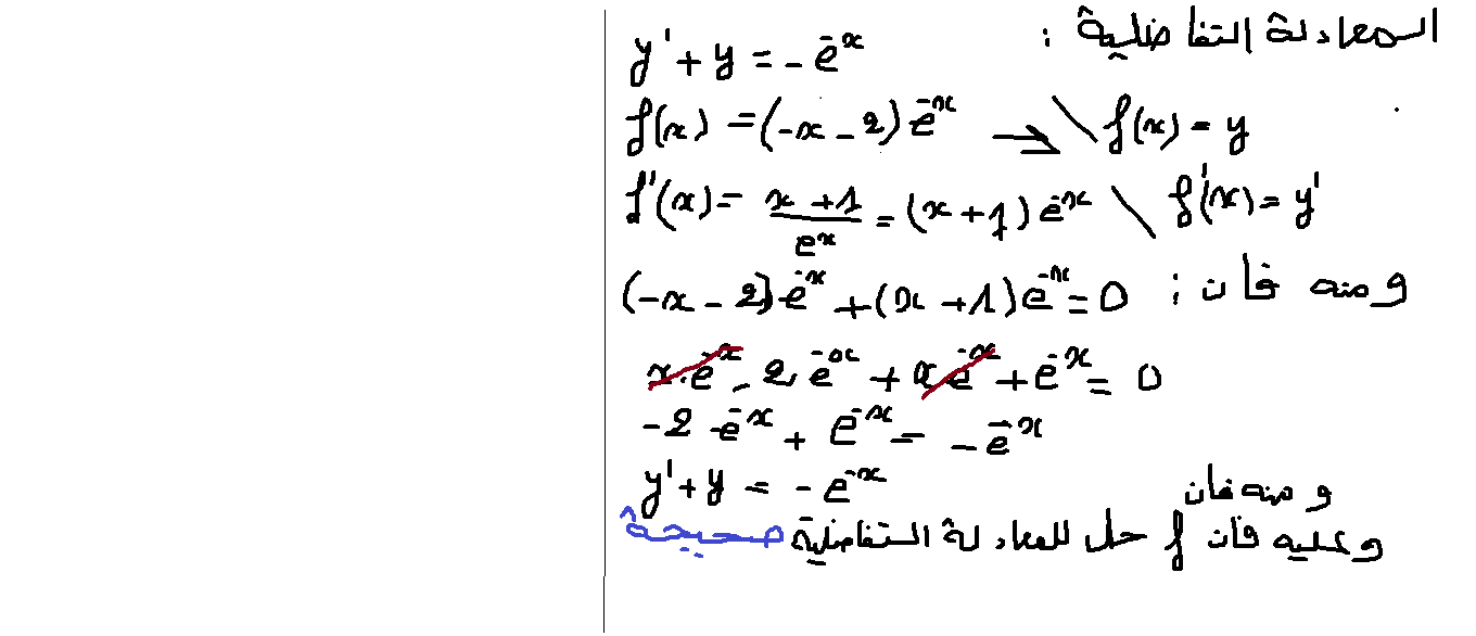
تابع لمسالة الرياضيات
مرسل: الخميس 10 ديسمبر 2015 3:43
بواسطة Styl Ina Manel

- Sans titre.png (46.47 KiB) تمت المشاهدة 18029 مرةً
تابع للمسالة
مرسل: الخميس 10 ديسمبر 2015 4:01
بواسطة Styl Ina Manel

- Sans titre.png (46.47 KiB) تمت المشاهدة 18029 مرةً